Сума і різниця кубів: глибокий аналіз
Сума і різниця кубів є однією з ключових тем у математичному аналізі, які часто стають на шляху студентів при вивченні алгебраїчних перетворень. Розуміння цієї теми дозволяє розширити можливості у розв’язанні комплексних рівнянь і аналітичному мисленні.
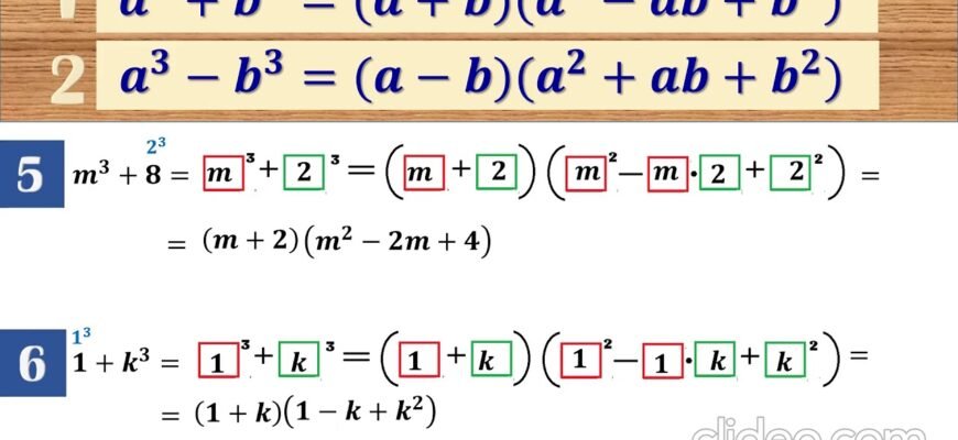
Формули для суми і різниці кубів
Формули для суми і різниці кубів виглядають наступним чином:
- Сума кубів: a³ + b³ = (a + b)(a² – ab + b²)
- Різниця кубів: a³ – b³ = (a – b)(a² + ab + b²)
Ці формули є основою для подальших маніпуляцій з кубічними виразами. Розгляньмо детальніше, як ці формули працюють на практиці та чому вони важливі.
Застосування формул на практиці
У практичних задачах математики та фізики часто виникає необхідність факторизації виразів, щоб спростити обчислення або знайти корені рівняння. Розглянемо кілька прикладів:
Приклад 1: Сума кубів
- Потрібно розкласти вираз x³ + 27.
- Ідентифікуємо, що x³ + 27 = x³ + 3³.
- Застосовуємо формулу суми кубів: (x + 3)(x² – 3x + 9).
Приклад 2: Різниця кубів
- Розгляньмо вираз 64 – y³.
- Спочатку напишемо його у вигляді кубів: 4³ – y³.
- Використовуємо формулу різниці кубів: (4 – y)(16 + 4y + y²).
Порівняння суми і різниці кубів із сумою і різницею квадратів
Щоб краще зрозуміти значення формул кубів, варто порівняти їх із формулами квадратів:
| Формула | Відмінності | 
|---|---|
| Сума квадратів | a² + b² = (немає простого факторизації) | 
| Різниця квадратів | a² – b² = (a + b)(a – b) | 
| Сума кубів | a³ + b³ = (a + b)(a² – ab + b²) | 
| Різниця кубів | a³ – b³ = (a – b)(a² + ab + b²) | 
З порівняння видно, що в алгебрі кубів існують ясні рішення для факторизації як суми, так і різниці. Це робить їх практичнішими в багатьох випадках.
Висновок
Розуміння і вміння працювати з сумою і різницею кубів є необхідними навичками для студентів, які прагнуть оволодіти більш складними аспектами алгебри та математики взагалі. Знання цих формул також є корисним інструментом у широкому спектрі практичних застосувань, від обчислень до програмування і навіть у фінансовому аналізі. Опановуючи ці концепції, ви розширюєте свій математичний арсенал, підвищуючи свою компетентність і впевненість у власних силах.
 
                                    






