- Як знайти модуль вектора формула: Повний посібник
- Розуміння Векторів
- Компоненти Вектора
- Як знайти Модуль Вектора: Формула
- Формула для Вектора в Двовимірному Просторі
- Формула для Вектора в Тривимірному Просторі
- Розробка Формули Модуля Вектора
- Випадок з Двовимірними Векторами
- Випадок з Тривимірними Векторами
- Застосування Формули в Практиці
- Фізика та Електромагнетизм
- Комп’ютерна Графіка
- Приклади Розрахунку
- Приклад 1: Двовимірний Вектор
- Приклад 2: Тривимірний Вектор
- Особливі Випадки
- Висновки
Як знайти модуль вектора формула: Повний посібник
При вивченні векторів однією з основних задач є визначення їх модуля. У цій статті ми розглянемо, як знайти модуль вектора формула, яка використовуватиметься в різних випадках. Це питання виникає в різних галузях науки та техніки, від фізики до комп’ютерної графіки, тому розуміння концепції є обов’язковим для будь-якого студента чи професіонала.
Розуміння Векторів
Вектори є важливими елементами в математиці і фізиці, і вони широко використовуються для представлення напрямків і величин. Вектор можна вважати вектора як об’єкт, що має як величину, так і напрям.
Компоненти Вектора
Вектор зазвичай представлений у вигляді набору координат. Наприклад, вектор в двовимірному просторі має два компоненти (x, y), в той час як вектор в тривимірному просторі матиме три компоненти (x, y, z).
Як знайти Модуль Вектора: Формула
Модуль вектора (також відомий як довжина або величина) характеризує його розмір без урахування напрямку. Існує чітка методологія для визначення цього, використовуючи відомі компоненти вектора.
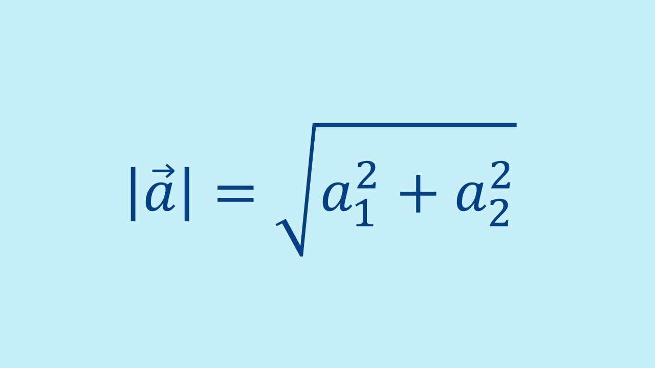
Формула для Вектора в Двовимірному Просторі
Для вектора a = (x, y), модуль визначається за допомогою наступної формули:
Формула:
|a| = √(x² + y²)
Формула для Вектора в Тривимірному Просторі
Якщо вектор a = (x, y, z) розміщено в тривимірному просторі, тоді формула для визначення модуля виглядає так:
Формула:
|a| = √(x² + y² + z²)
Розробка Формули Модуля Вектора
Випадок з Двовимірними Векторами
- Крок 1: Визначте компоненти вектора a = (x, y).
- Крок 2: Обчисліть квадрати кожної компоненти: x² та y².
- Крок 3: Складіть квадрати компонент: x² + y².
- Крок 4: Визначте квадратний корінь із суми: √(x² + y²).
Випадок з Тривимірними Векторами
- Крок 1: Визначте компоненти вектора a = (x, y, z).
- Крок 2: Обчисліть квадрати кожної компоненти: x², y² та z².
- Крок 3: Складіть квадрати компонент: x² + y² + z².
- Крок 4: Визначте квадратний корінь із суми: √(x² + y² + z²).
Застосування Формули в Практиці
Фізика та Електромагнетизм
У фізиці вектори часто використовуються для представлення таких величин, як сила, швидкість та прискорення. Модуль векторів використовується для визначення інтенсивності цих величин.
Комп’ютерна Графіка
В комп’ютерній графіці вектори використовуються для відображення позицій, нормалізації векторів світла та інших численних операцій, які є ключовими для реалістичного представлення зображень.
Приклади Розрахунку
Приклад 1: Двовимірний Вектор
- Введення: Нехай вектор a = (3, 4).
- Обчислення:
- Обчислити x² + y²: 3² + 4² = 9 + 16 = 25
- Корінь з суми: √25 = 5
- Відповідь: Модуль вектора a дорівнює 5.
Приклад 2: Тривимірний Вектор
- Введення: Нехай вектор a = (1, 2, 2).
- Обчислення:
- Обчислити x² + y² + z²: 1² + 2² + 2² = 1 + 4 + 4 = 9
- Корінь з суми: √9 = 3
- Відповідь: Модуль вектора a дорівнює 3.
Особливі Випадки
Є певні особливі випадки, які слід враховувати при використанні формули модуля вектора:
- Якщо всі компоненти вектора дорівнюють нулю, тоді модуль вектора також буде нульовим.
- Нормалізація вектора передбачає приведення вектора до одиничної довжини. Це робиться шляхом поділу кожної компоненти вектора на його модуль.
- Вектори з однаковими напрямками, але з різною довжиною, будуть мати різні модуля.
Висновки
Як знайти модуль вектора формула – це одне з фундаментальних навичок у векторній математиці. Використання зазначених формул для дво- і тривимірних векторів дозволяє швидко і ефективно визначити довжину векторів, що є необхідним у багатьох практичних задачах. Розуміння та вільне володіння цими знаннями сприяє успішному застосуванню векторів у різних галузях.






