Люди
Як оновити додаток Дія на Андроїд У сучасному світі мобільні додатки стали невід’ємною частиною нашого повсякденного життя. Вони допомагають вирішувати
Як правильно різати манго: покрокова інструкція та поради експертів Коли ми говоримо про екзотичні фрукти, манго займає особливе місце завдяки своєму солодкому
Як зробити гномон своїми руками: Покрокова інструкція Створення гномона своїми руками може бути не лише цікавим проектом, а й освітнім досвідом, який дозволяє
Як дихає черепаха: унікальний респіраторний механізм Тема “як дихає черепаха” зачаровує багатьох, адже ці рептилії мають унікальну анатомічну
Як порахувати електроенергію: Повний посібник Одним з ключових питань у рамках управління житлом є питання про те, як порахувати електроенергію.
Співпереживання як ключова навичка сер розкривається Співпереживання як ключова навичка сер розкривається через практику соціально-емоційного та етичного
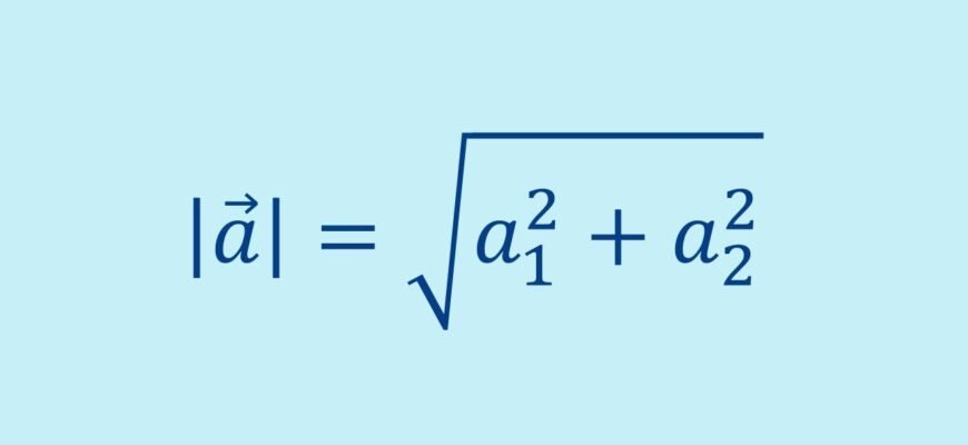
Як знайти модуль вектора формула: Повний посібник При вивченні векторів однією з основних задач є визначення їх модуля. У цій статті ми розглянемо, як
Як забрати посилку з Розетки: Керівництво для Покупців Отримання замовлень через інтернет-магазин стало звичною справою для багатьох українців.
Як душа проходить митарства У багатьох релігійних системах, особливо у православному християнстві, процес, як душа проходить митарства, є важливою частиною
Як намалювати синичку дитині: покроковий гід У цій статті ми детально розглянемо, як намалювати синичку дитині. Малювання птахів, таких як синичка, може









